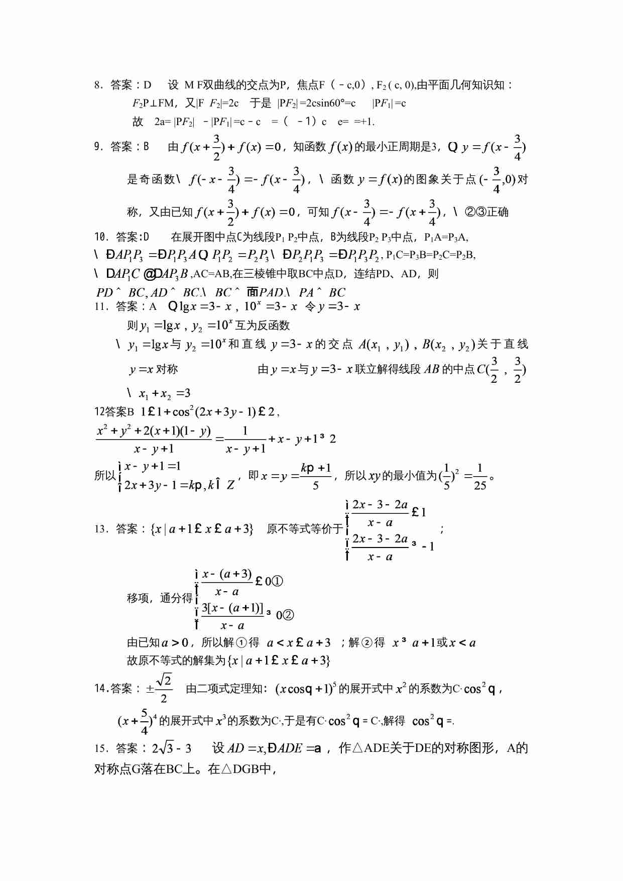
2008年全国高中数学联赛.doc

2008年全国高中数学联赛是由中国数学会主办的全国性高中数学竞赛,旨在选拔数学优秀人才,为国际数学奥林匹克(IMO)储备选手。竞赛分一试和二试,一试侧重高考延伸的基础综合能力,二试聚焦代数、几何、数论、组合数学等专题的深度思维与解题技巧。当年试题注重知识的灵活运用与逻辑推理,部分题目结合实际背景,既考察学生的数学素养,也为高校自主招生提供重要参考,是国内高中数学竞赛体系中的核心赛事之一。

售价

¥11.95

浏览 0
热度 0
459.00 KB
2026-04-07

资源预览

预览内容为系统截图或用户上传,请自行识别内容

2008年全国高中数学联赛.doc-0-预览
2008年全国高中数学联赛.doc-1-预览
2008年全国高中数学联赛.doc-2-预览
2008年全国高中数学联赛.doc-3-预览
2008年全国高中数学联赛.doc-4-预览

521

暂无简介

热度 0
资源 3500

相关推荐

2005年全国高中数学联赛.doc

教育

2005年全国高中数学联赛是面向全国高中学生的数学竞赛,旨在选拔数学特长人才、激发学习兴趣。赛事分一试与加试,一试侧重高考延伸的基础综合,涵盖代数、几何、数论等;加试侧重思维拓展,含平面几何、组合数学等难题。当年试题注重知识应用与创新思维结合,既检验学生扎实功底,也考察灵活解题能力,为高校选拔数学潜质生提供重要参考,推动中学数学教育发展。

热度 0大小 21.00 KB
521

¥11.95

2005年全国高中数学联赛试题.doc

教育

2005年全国高中数学联赛试题围绕代数、几何、数论、组合数学四大模块设计,题型含选择题、填空题与解答题,注重考查逻辑推理、运算能力与创新思维。试题难度梯度合理,既覆盖高中数学核心知识,又融入竞赛特色题型,如几何中的多面体截面、数论中的不定方程、组合中的计数问题等,能有效区分学生数学素养,是当年高中数学竞赛的经典命题,对提升学生竞赛能力与思维深度具有指导意义。

热度 0大小 621.50 KB
521

¥11.95

2004年全国高中数学联赛试题.doc

教育

2004年全国高中数学联赛试题聚焦代数、几何、数论、组合数学四大模块,题型含填空、解答两类,难度适配高中竞赛水平。试题注重基础与能力结合,既考查函数、数列、立体几何等核心知识,也渗透逻辑推理与创新思维,如几何题需灵活运用向量或坐标法,数论题需构造数论结构。其命题思路贴合联赛选拔定位,成为当年高中数学竞赛的经典参考,反映了竞赛数学对思维深度与知识综合应用的要求。

热度 0大小 317.00 KB
521

¥11.95

2004年全国高中数学联赛试卷.doc

教育

2004年全国高中数学联赛试卷聚焦竞赛数学核心素养,分一试与二试。一试涵盖高中数学主干知识,注重思维灵活性与解题技巧,题型含选择、填空、解答,考查代数、几何、数论等基础综合;二试侧重深度探究,以几何证明、数论问题、组合数学为主,突出逻辑推理与创新能力。试卷设计兼顾广度与深度,既检验课内知识掌握,又拓展竞赛思维边界,是当年高中数学尖子生竞技与选拔的重要载体。

热度 0大小 184.00 KB
521

¥11.95

2001年全国高中数学联赛试题.doc

教育

2001年全国高中数学联赛试题围绕代数、几何、数论、组合四大模块设计,注重思维灵活性与知识综合运用。一试侧重基础拓展,涵盖函数、数列、解析几何等核心考点;二试强化竞赛能力,包括几何证明、数论推理与组合计数,题目兼具经典性与创新性,既检测学生对高中数学的深度理解,也考察逻辑推导与问题解决能力,是当年高中数学竞赛水平的重要标尺,对后续联赛命题方向有一定参考价值。

热度 0大小 28.50 KB
521

¥11.95

2008年全国高中数学联赛一试试题.doc

教育

2008年全国高中数学联赛一试试题聚焦高中数学核心知识,涵盖代数、几何、数论、组合等模块,题型包含选择题、填空题与解答题,注重考查学生对数学概念的深度理解及逻辑推理、运算求解能力。试题设计兼具基础性与灵活性,既贴合高中教材重点,又通过创新情境与综合问题区分学生思维层次,是检测高中数学综合素养的重要载体,为高校选拔数学特长学生提供了科学依据。

热度 0大小 89.50 KB
521

¥11.95

2005年全国高中数学联赛试题(1).doc

教育

2005年全国高中数学联赛试题立足高中数学核心知识,涵盖代数、几何、数论、组合等模块,题型含选择、填空与解答。试题注重思维深度与应用能力,既考查基础概念的灵活运用,也设置了需综合分析的创新题,如几何变换、数论推理等,能有效区分学生数学素养,体现联赛对逻辑思维与解题技巧的选拔导向,是当年高中数学竞赛的经典命题,为后续竞赛备考提供了典型参考。

热度 0大小 229.00 KB
521

¥11.95