2003-露天生产的车辆安排.pdf

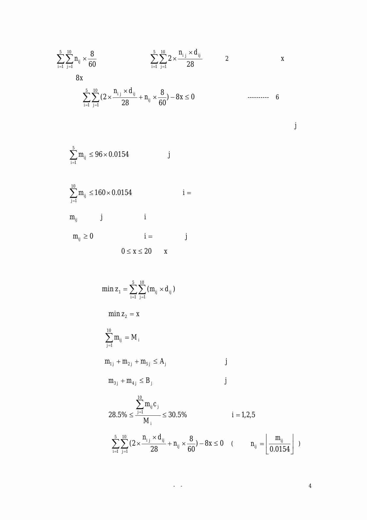
《2003-露天生产的车辆安排》是针对露天作业场景制定的车辆调度方案文档,聚焦2003年露天生产的运输需求,明确不同作业环节(如剥离、采装、排土等)的车辆配置、运行路线、作业时段及调度机制,兼顾效率与安全,协调自卸车、推土机等设备的协同作业,减少空驶率与等待时间,为露天生产的有序推进提供清晰的车辆调度指引,助力生产任务高效完成。

售价

¥11.95

浏览 0
热度 0
164.01 KB
2026-04-06

资源预览

预览内容为系统截图或用户上传,请自行识别内容

2003-露天生产的车辆安排.pdf-0-预览
2003-露天生产的车辆安排.pdf-1-预览
2003-露天生产的车辆安排.pdf-2-预览
2003-露天生产的车辆安排.pdf-3-预览
2003-露天生产的车辆安排.pdf-4-预览

521

暂无简介

热度 0
资源 2958

相关推荐

0664、车辆转向灯电路.rar

科技

创作者暂未提供详细描述

热度 0大小 72.84 KB
521

¥9.85

3.2 物业管理安全生产之安全篇.pdf

该PDF详述物业安全管理要点,涵盖日常巡查、设备维护与应急处理流程,为保障社区安全提供清晰指引。

热度 0大小 459.55 KB

¥1.50

中国车规级芯片产业白皮书 2023 -盖世汽车.pdf

大数据

《2023中国车规级芯片产业白皮书》由盖世汽车发布,深度解析产业现状、供应链格局及未来发展趋势,为行业提供权威参考。

热度 1大小 13.97 MB

¥3.56

中国智能汽车车载计算芯片产业报告 2023.pdf

大数据

2023年中国车载计算芯片产业报告,聚焦技术突破、市场格局与供应链挑战,展望智能驾驶未来发展趋势。

热度 0大小 7.12 MB

¥3.56

再制造发展下中国车险行业的机遇与挑战-安永-2023.pdf

其他

各类行业报告下载

热度 0大小 3.28 MB

¥5.65

大安本《金瓶梅詞話》第五卷(排印版) by 蘭陵笑笑生.pdf

《金瓶梅詞話》第五卷以市井百態為鏡,照見世情悲歡。蘭陵笑笑生筆觸如刀,刻畫人性慾望沉浮,字裡行間盡顯明代社會眾生相。

热度 0大小 4.24 MB

¥1.50

大安本《金瓶梅詞話》第四卷(排印版) by 蘭陵笑笑生.pdf

《金瓶梅詞話》第四卷,蘭陵笑笑生著。此大安本排印版,再現明代市井風情與世態人性,為古典小說研究之重要文獻。

热度 0大小 5.34 MB

¥1.51