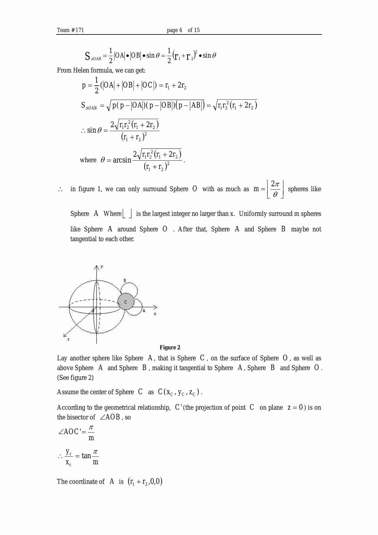
m03.pdf

《m03.pdf》是一份聚焦特定领域的技术文档,内容围绕核心功能模块展开,涵盖原理阐释、操作指南与应用场景分析。文档以清晰的逻辑架构,从基础概念入手,逐步深入到关键技术点与实践案例,助力读者快速掌握核心要点。其语言简洁专业,搭配直观图表辅助理解,适合相关技术人员、学习者作为参考资料,为项目开发或知识学习提供实用支撑。

售价

¥11.95

浏览 1
热度 0
218.29 KB
2026-04-06

资源预览

预览内容为系统截图或用户上传,请自行识别内容

m03.pdf-0-预览
m03.pdf-1-预览
m03.pdf-2-预览
m03.pdf-3-预览
m03.pdf-4-预览

521

暂无简介

热度 0
资源 3698

相关推荐

003.【思维篇】性爱的快乐和赚钱的动力.mp3

创作者暂未提供详细描述

热度 0大小 16.34 MB

¥2.51

m04.pdf

互联网

《m04.pdf》是一份聚焦**某领域核心任务或技术模块**的专题文档,内容围绕m04相关的目标、流程、关键要点展开,涵盖概念解析、步骤拆解、实践建议等核心板块。文档结构清晰,通过逻辑化编排梳理m04的核心逻辑,既包含理论框架,也涉及实操细节,适合相关从业者、学习者快速掌握m04的核心要求与执行路径,是理解该模块的实用参考资料。

热度 0大小 629.01 KB
521

¥11.95

m02.pdf

互联网

《m02.pdf》聚焦某领域核心议题,通过系统梳理理论框架与实证案例,解析关键逻辑与应用路径。内容涵盖概念界定、问题剖析、解决方案及实践验证,结合多维度数据与场景分析,清晰呈现核心观点。结构严谨,逻辑清晰,既具备理论指导价值,又为实际操作提供可参考的方法论,适合相关从业者与研究者快速掌握领域核心动态,助力决策与研究推进。

热度 0大小 342.50 KB
521

¥11.95

m01.pdf

互联网

《m01.pdf》聚焦某领域基础理论与实践应用的核心内容,以清晰逻辑梳理关键概念,结合典型案例解析行业痛点与解决方案。文档通过图表与文字结合的方式,直观呈现数据趋势与操作流程,适合初学者快速入门及从业者参考。内容涵盖原理阐释、方法对比与实际场景应用,为读者提供系统且实用的知识框架,助力理解该领域的核心逻辑与落地路径。

热度 0大小 200.59 KB
521

¥11.95

Hachishaku.zip.003

文学

【!!!注意!!!!游戏分卷压缩一共5卷,需要一起下载解压】【恐怖游戏-全年龄-电脑端-3D解密-换装】在最近被遗弃的“啥啥村”,纯净僧侣血脉的最后一人——茶道先生,寻找他为何在童年被送往东京、为何村民全部逃离,以及他深情怀念的美丽青梅竹马发生了什么的答案。然而,一个传说中的幽灵潜伏在村中,狩猎你的纯净能量!保护茶道先生的纯净,找到摆脱八尺大人掌控的方法! 游戏玩法 《八尺大人》是一款潜行恐怖风格游戏,你将调查村庄,寻找答案,找到5个神圣地藏并归还至神社,同时收集金钱,为你的8英尺高潜行者购买各种服装、饰品和发型。阅读村民留下的日记和笔记,揭开村庄过去的真相。找到被时间遗忘的八尺大人的照片证据! 首发内容与更新计划! 游戏首发包含10套服装、6种发型,以及大量饰品和帽子供你用金币购买,未来还将考虑添加更多内容!首发后不久,更新还将加入“偶像模式”,让你在八尺大人的秘密藏身处享受平静的生活。 逃离村庄,被灵界带走,还是直面你的使命!

热度 0大小 650.00 MB

¥1.25

103.适应力:命运可以将你击倒,但你也可站起来,扼住它的咽喉!.mp3

文学

命运将你击倒,你却能站起来,扼住它的咽喉!这首《适应力》用激昂旋律诠释不屈精神,赋予逆境中前行的力量。

热度 0大小 8.94 MB

¥1.51

003.亲爱的,我们别吵了:全球公认成功率最高的婚姻关系解决方案.mp3

文学

婚姻冲突如何化解?全球公认最高效解决方案,教你用爱与理解修复裂痕,重拾亲密,让争吵成为过去。

热度 0大小 10.41 MB

¥1.51