12.第十二章 回归分析.pdf

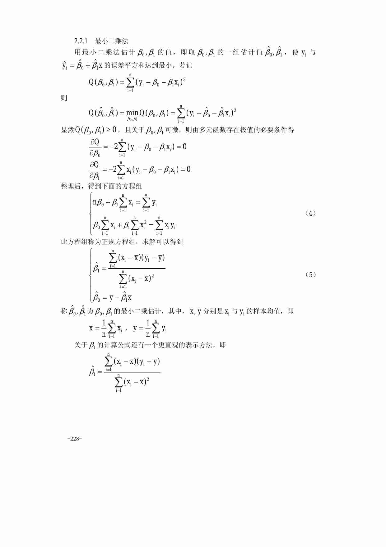
第十二章聚焦回归分析,从基本概念切入,先介绍线性回归的核心假设与建模逻辑,再延伸至多元线性回归的参数估计(如最小二乘法)、显著性检验及模型评价方法(拟合优度、残差分析等)。内容兼顾理论推导与应用场景,通过实例讲解如何利用回归模型分析变量间的线性关系、预测趋势,同时提及异方差、多重共线性等常见问题的识别与处理,为定量研究中变量关联分析提供系统工具与方法支撑。

售价

¥4.60

浏览 1
热度 0
273.88 KB
2026-04-06

资源预览

预览内容为系统截图或用户上传,请自行识别内容

12.第十二章 回归分析.pdf-0-预览
12.第十二章 回归分析.pdf-1-预览
12.第十二章 回归分析.pdf-2-预览
12.第十二章 回归分析.pdf-3-预览
12.第十二章 回归分析.pdf-4-预览

521

暂无简介

热度 0
资源 2958

相关推荐

12第十二章 回归分析.pdf

编程技术

《第十二章 回归分析》聚焦回归分析核心内容,从线性回归基本原理切入,涵盖简单线性回归与多元线性回归的模型构建、参数估计(最小二乘法)、显著性检验(t检验、F检验)及模型诊断方法。内容结合实例讲解回归分析的应用场景,包括预测与解释变量间的线性关系,同时涉及异方差、多重共线性等常见问题的识别与处理,帮助读者掌握回归分析的完整流程,为数据分析与建模提供基础工具。

热度 0大小 359.24 KB
521

¥11.95

第十二章 回归分析.pdf

编程技术

第十二章聚焦回归分析,系统讲解其核心逻辑与应用:从线性回归的基本假设、参数估计(最小二乘法),到模型检验(拟合优度、显著性检验),再延伸至多元线性回归、非线性回归等拓展方向。内容兼顾理论推导与实操方法,结合案例解析如何通过回归模型量化变量间的依存关系,预测趋势或解释影响因素,为数据分析与建模提供关键工具,适用于经济、统计等领域的实际问题解决。

热度 0大小 273.88 KB
521

¥3.55

算法大全第12章_回归分析.pdf

互联网

《算法大全》第12章聚焦回归分析,系统讲解线性回归、多项式回归、岭回归等核心算法原理与实现逻辑。从最小二乘法到正则化方法,结合公式推导与应用场景,解析单变量、多变量回归的适用条件与优化策略。同时引入评估指标(如R²、MSE),通过案例演示数据预处理、模型训练与结果解读,帮助读者掌握从数据关系建模到模型优化的完整流程,为预测分析与变量关联研究提供算法支撑。

热度 0大小 273.88 KB
521

¥9.85

27第二十七章 偏最小二乘回归分析.pdf

编程技术

《27第二十七章 偏最小二乘回归分析》聚焦偏最小二乘(PLS)回归这一多元统计方法,针对自变量间多重共线性、样本量不足等问题,阐述其核心原理——通过提取自变量与因变量的综合成分(主成分)实现降维与回归建模。内容涵盖PLS的基本假设、算法步骤(如SIMPLS、NIPALS)、成分数选择方法,及在化学计量学、生物信息学等领域的应用实例,对比普通最小二乘回归的优势,为处理高维数据建模提供实用工具与理论支撑。

热度 0大小 177.41 KB
521

¥11.95

第三十章 偏最小二乘回归.pdf

编程技术

第三十章聚焦偏最小二乘回归(PLS),针对多变量共线性、样本量不足等传统回归痛点,介绍其核心原理:通过提取主成分(成分)最大化解释因变量与自变量的协方差,兼顾变量信息与预测能力。章节涵盖PLS-1(单因变量)与PLS-2(多因变量)算法,讲解成分提取、交叉验证确定成分数的方法,对比主成分回归的差异,还涉及应用场景(如化学计量学、高维数据分析)及建模步骤,帮助读者掌握该方法的适用条件与实操要点。

热度 0大小 167.16 KB
521

¥3.55

第二十九章 多元分析.pdf

编程技术

《多元分析》第二十九章聚焦高维数据降维与可视化核心方法,以主成分分析(PCA)、因子分析为核心,结合案例解析维度压缩逻辑。内容涵盖降维必要性、算法原理、方差解释率应用,及与聚类、回归模型的联动场景。通过鸢尾花数据集实操展示降维后数据分布可视化,对比传统分析局限,突出多元分析在挖掘变量潜在结构、简化复杂数据中的实用价值,适配科研与工程领域高维数据处理需求。

热度 0大小 575.80 KB
521

¥3.55

26第二十六章 多元分析.pdf

编程技术

《多元分析》第二十六章聚焦多元统计方法在复杂数据中的应用,涵盖聚类分析、判别分析、主成分分析等核心内容。章节结合实例解析方法原理,如用K-means聚类识别数据分组特征,通过判别函数区分不同类别;同时介绍主成分分析降维思路,帮助简化高维数据维度。内容兼顾理论框架与实操逻辑,适合理解多元分析在生物、经济等领域的分析逻辑,为解决多变量数据问题提供方法支撑。

热度 0大小 693.40 KB
521

¥11.95